Kunci Jawaban Kimia Kelas 11 SMA/MA Bab 4 Hidrokarbon
Berikut ini adalah kunci jawaban mata pelajaran Kimia untuk kelas 11 SMA/MA, bab 4 tentang hidrokarbon. Buku ini diterbitkan oleh Kementerian Pendidikan, Kebudayaan, Riset, dan Teknologi dengan ISBN 978-602-427-922-6. Penulis buku ini adalah Munasprianto Ramli, Nanda Saridewi, Tiktik Mustika Budhi, dan Aang Suhendar.
Kunci jawaban ini dapat digunakan sebagai panduan bagi orang tua dalam membimbing anak belajar. Namun, siswa diharapkan mengerjakan soal-soal yang ada di buku secara mandiri terlebih dahulu dengan cermat dan teliti.
Ayo Cek Pemahaman
Pilihlah jawaban yang paling tepat!
- Jumlah atom karbon primer, sekunder, tersier, dan kuartener dari senyawa 2,2,3-trimetilpentana berturut-turut adalah ….
- A. 5, 1, 1, 1
- B. 5, 0, 2, 1
- C. 5, 1, 2, 0
- D. 4, 1, 2, 1
- E. 4, 2, 1, 1
Jawaban: A. 5, 1, 1, 1
Penjelasan:
Struktur 2,2,3-trimetilpentana adalah:
Jumlah atom karbon primer, sekunder, tersier, dan kuartener berturut-turut adalah 5, 1, 1, dan 1.
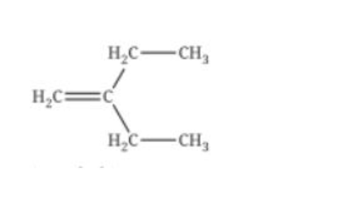
- Berikut ini tata nama yang sesuai dengan IUPAC adalah ….
- A. 2-etilbutana
- B. 2-etil-1-butena
- C. 2-etilpentana
- D. 2-etil-2-butena
- E. 2-metil-3-butena
Jawaban: B. 2-etil-1-butena
Penjelasan:
Berikut nama yang tepat dari setiap pilihan jawaban:
– A. 2-etilbutana seharusnya 3-metilpentana
– B. 2-etil-1-butena sudah sesuai
– C. 2-etilpentana seharusnya 3-metilheksana
– D. 2-etil-2-butena seharusnya 3-metil-2-pentena
– E. 2-metil-3-butena seharusnya 3-metil-1-butena
Jadi, tata nama yang sesuai dengan IUPAC adalah 2-etil-1-butena dengan struktur:

- Berikut ini nama senyawa yang bukan merupakan isomer dari heptana adalah ….
- A. 2,2,3,3-tetrametilpropana
- B. 2,2,3-trimetilbutana
- C. 2,2-dimetilpentana
- D. 2,3-dimetilpentana
- E. 3-metilheksana
Jawaban: A. 2,2,3,3-tetrametilpropana
Penjelasan:
Heptana memiliki rumus C7H16. Dengan demikian, senyawa yang merupakan isomer heptana harus memiliki total 7 atom C dan 16 atom H.
Selain itu, pastikan nama senyawa sesuai dengan aturan IUPAC. Setiap pilihan pada soal seolah semuanya benar karena memiliki jumlah 7 atom C dan 16 atom H. Akan tetapi, pilihan “a”, yaitu 2,2,3,3-tetrametilpropana merupakan nama yang kurang tepat. Nama yang tepat adalah 2,2,3-trimetilbutana.

- Hasil reaksi yang dominan antara HCl dengan 1-pentena adalah ….
- A. 2-kloropentana
- B. 1-kloropentana
- C. 3-kloropentana
- D. 2-metil-2-klorobutana
- E. 2-kloro-3-metilbutana
Jawaban: A. 2-kloropentana
Penjelasan:
Reaksi antara HCl dan 1-pentena ditunjukkan sebagai berikut.

-
Perhatikan reaksi-reaksi senyawa hidrokarbon berikut.

-
A. eliminasi, substitusi, adisi, pembakaran
- B. eliminasi, adisi, substitusi, pembakaran
- C. adisi, eliminasi, substitusi, pembakaran
- D. adisi, substitusi, eliminasi, oksidasi
- E. adisi, substitusi, eliminasi, substitusi
Jawaban: D. adisi, substitusi, eliminasi, oksidasi
Penjelasan:

Jawablah Pertanyaan di Bawah Ini dengan Tepat!
- Tentukan nama IUPAC yang sesuai untuk struktur berikut!

Jawaban dan Penjelasan:


- Tuliskan persamaan reaksi setara untuk:
- A. pembakaran n-heptana
- B. adisi HCl pada 2-metil-1-pentena
Jawaban dan Penjelasan:


- Gambarkan dan beri nama:
- A. semua isomer dari C5H12
- B. semua isomer struktur dari C4H8
- C. isomer struktur dari C4H6 yang merupakan alkuna dan sikloalkena
Jawaban dan Penjelasan:







